Accredited by NAAC with Grade B

Notice Board

 

Date: 13/05/2026
Notice regarding OBC NCL Certificate for FYUG Admission 2026-27


Date: 27/05/2026
Admission Notice regarding Sujog re-admission portal (Unsuccessful of H.S Final examinatuion, 2026)


Date: 26/05/2026
Notice regarding H.S 2nd Year regular admission (who passed H.S. 1st year Exam, 2026-27)


Date: 27/05/2026
UG Admission Notice on timeline and 1st Merit List


Date: 30/04/2026
HS First Year Final Examination Result 2025-26


Date: 25/04/2026
Higher Secondary First Year Admission (2026-27) Notice


Date: 25/04/2026
Provisional Merit list (Reserved & Unreserved) for HS 1st Year Commerce Admission 2026


Date: 25/04/2026
Provisional Merit list (Reserved & Unreserved) for HS 1st Year Arts Admission 2026


Date: 18/04/2026
FYUG & CBCS even semester exam enrollment notice


Date: 14/04/2026
Examination Enrollment of TDC(CBCS) and FYUG Even Semester Examinations, April - May 2026


Date: 13/04/2026
Holiday Notice


Date: 10/04/2026
Notification regadring H.S 1st Year admission 2026-27


Date: 10/04/2026
Commencement of Registration for UG Admission 2026-27


Date: 23/03/2026
College Foundation Day Observation on 24.03.2026


Date: 20/03/2026
Voters' Awareness Programme on 23/03/2026


Date: 13/03/2026
self-evaluation/viva for HS 1st year students.


Date: 06/03/2026
International Women's Day Celebration


Date: 05/03/2026
Assignment submission date


Date: 02/03/2026
Notification regarding H.S. 1st Year Examination, 2026


Date: 02/03/2026
Holiday on 3rd & 4th March, 2026


Date: 28/02/2026
Assignment 6th Sem All Subjects


Date: 28/02/2026
Assignment 4th Sem All Subjects


Date: 28/02/2026
Assignment 2nd Sem All Subjects


Date: 27/02/2026
Assignment Cover page format


Date: 27/02/2026
Notice Regarding Assignment Submission


Date: 27/02/2026
Notification regarding Holiday on 4th march, 2026


Date: 21/02/2026
Date of NON-CBCS Examination Form fillup


Date: 17/02/2026
Alleged adoption of unfair means in the TDC Odd Sem Examinations, Nov 2025.


Date: 17/02/2026
Notice for HS 1st Year Examination,2026


Date: 10/02/2026
Additional instruction for candidate appearing at HS Final examination, 2026


Date: 10/02/2026
Notice regarding Japanese Encephalitis Vaccination Camp on 13/02/2026.


Date: 09/02/2026
Notice on class suspension and mobility restriction in the college due to HS Final Exam


Date: 06/02/2026
Notice for TDC_Non_CBCS_Additional_Special_Exam


Date: 04/02/2026
Regarding Job Fair 2026 at Assam University, Silchar


Date: 04/02/2026
Regarding Job and Education opportunities in Maritime Sector


Date: 28/01/2026
Notice regarding JE Vaccination camp


Date: 25/01/2026
Republic Day Observation


Date: 24/12/2025
Notification regarding Holiday and winter vacation.


Date: 20/12/2025
Notication regarding a general meeting for H.S final year examination, 2026


Date: 09/12/2025
Class Routine for H.S. 2nd year


Date: 08/12/2025
Notice for HS 2nd Year Revision Test


Date: 22/11/2025
Notice regarding CBCS Exam on 24/11/2025.


Date: 22/11/2025
Important Notice regarding Holiday on 24th November,2025


Date: 11/11/2025
Notice regarding FYUG ODD Semester Examination Form Fill Up, November, 2025


Date: 12/11/2025
Extension of CBCS ODD Semester Examination Form Fill up (November, 2025)


Date: 08/11/2025
Notice regarding Chief Ministers Jibon Prerana Scheme


Date: 01/11/2025
Reschedule Date for HS 2nd year form fill up


Date: 01/11/2025
Exam Form of HS Final Year 2026 Regular & Private


Date: 25/10/2025
Notice for MMNMA Cheque Distribution Programme


Date: 25/10/2025
Higher Secondary Half-yearly Exam Routine


Date: 27/09/2025
Notice regarding Puja Vacation, 2025


Date: 22/09/2025
Guidelines for submission of assignment


Date: 22/09/2025
VAC Assignment for Unit Test-II


Date: 22/09/2025
Change of schedule of Unit Test-II


Date: 16/09/2025
Voluntary Blood Donation Camp on 17.09.2025


Date: 16/09/2025
OM on launch of Official Website of the National Task Force.


Date: 13/09/2025
সৈয়দ মুজতবা আলীর জন্মতিথি


Date: 12/09/2025
Live streaming of Dr. Bhupen Hazarika's Centenary Celebration Address by Hon'ble Prime Minister


Date: 09/09/2025
Regarding registration for IndiaSkills Competition 2025


Date: 06/09/2025
Birth Centenary Celebration of Dr. Bhupen Hazarika


Date: 02/09/2025
NOTICE REGARDING GOVERNOR ASSAM PRATIBHA PROTSAHAN YOJANA


Date: 23/08/2025
HS Class suspension Notice


Date: 13/08/2025
2 nd, 4 th& 6 th SEMESTER (Non-CBCS) EXAMINATIONS, 2024 HELD IN AUGUST-SEPTEMBER, 2025


Date: 08/11/2025
Notification regarding Art & Self Composed Poetry competition


Date: 09/08/2025
NOTIFICATION REGARDING H.S. 1ST YEAR REGISTRATION, 2025


Date: 08/04/2025
1ST SEMESTER HOSTEL NOTICE


Date: 08/04/2025
NOTICE REGARDING STUDENT SKILLING PROGRAMME


Date: 08/04/2025
NOTICE REGARDING AGNIPATH SCHEME


Date: 04/08/2025
NCC Enrolment Notice


Date: 04/08/2025
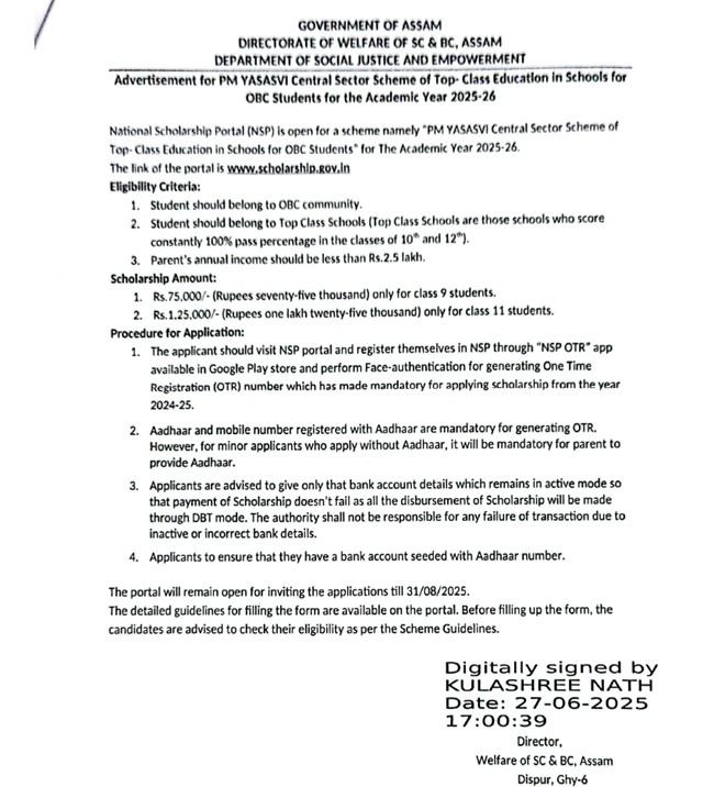
Central Sector Scholarship Scheme for OBC Students


Date: 01/08/2025
Important Notification Regarding College Library


Date: 31/07/2025
Hostel list for newly admitted H.S. Year students, 2025


Date: 30/07/2025
Notice Regarding Hostel Admission for the FYUG 1st Semester students, 2025


Date: 31/07/2025
Notice regarding finncia assistance for SC & OBC students


Date: 25/07/2025
Notice regarding Induction Programme of FYUGP 1st Semester.


Date: 28/07/2025
FYUG Routine Commerce 2025-26


Date: 28/07/2025
FYUG Routine Arts 2025-26


Date: 26/07/2025
Notice regarding Non-CUET Final Spot Admission.


Date: 22/07/2025
Postponement of schedule of Walk-in Interview for Computer Science Teacher


Date: 20/07/2025
Notice Regarding Sahid Dibas Observation


Date: 18/07/2025
Walk-in Interview for Contractual teacher of Computer Science


Date: 19/07/2025
Regarding participation in NSPC- National Students Paryavaran Competition started from 1st July to 21st August, 2025


Date: 12/07/2025
Notice regarding Walk-in Interview in Commerce and Journalism & Mass Communication


Date: 12/07/2025
Online submission of Re-valuation/Scrutiny of paper(s) of FYUGP Odd Semester Examination November, 2024


Date: 11/07/2025
Schedule regarding CUET Admission and Non-CUET Final Spot Admission


Date: 07/07/2025
Notice regarding FYUG 3rd and 5th Semester admission


Date: 07/07/2025
Notice regarding FYUG 3rd and 5th Sem Admission


Date: 07/05/2025
Executive Order on Fee Waiver Scheme


Date: 01/07/2025
Notice regarding H.S. 2nd year admission , 2025


Date: 30/06/2025
Summer vacation notice


Date: 26/06/2025
Routine for FYUGP 3rd and 5th Sem


Date: 25/06/2025
FYUGP 3rd and 5th Sem interaction cum academic review meeting


Date: 25/06/2025
Notice regarding HS Second Year Class commencement and routine


Date: 24/06/2025
NOTICE REGARDING VIKSIT BHARAT : YUVA CONNECT PROGRAMME


Date: 23/06/2025
Notice regarding Interaction cum Orientation Programme for HS Second Year students


Date: 20/06/2025
HS First Year Class Routine.


Date: 19/06/2025
Guidelines for Spot Admissions-UG 2025


Date: 16/06/2025
Notification regarding Darpan reopening for HS First Year Admission


Date: 12/06/2025
FYUG 1st Semester Commerce 2nd Merit List


Date: 12/06/2025
FYUG Arts 1st semester 2nd merit List


Date: 12/06/2025
Notice for Newly admitted HS 1st year students


Date: 12/06/2025
Notice regarding FUYG 3rd and 5th Sem Class commencement


Date: 12/06/2025
Notice regarding HS First Year Induction Programme and Classes


Date: 03/06/2025
Notice regarding extension of date of FYUG 1at semester admission


Date: 02/06/2025
FYUG Commerce First Merit List


Date: 02/06/2025
FYUG Arts First Merit List


Date: 01/06/2025
Notification regarding FYUG exam postponed


Date: 27/05/2025
Notice Regarding OBC categoory students for seeking admission into FYUG 1st year, 2025-2026


Date: 27/05/2025
Notification regarding Walk in Interview


Date: 19/05/2025
Booklet on Sahid Divas (19th May)


Date: 19/05/2025
Notice regarding acceptance of both income certificate and ration card


Date: 17/05/2025
Invitation for Sahid Smarak Unmochon Onusthan


Date: 13/05/2025
Darpan Reopen Notification for Higher Secondary Admission


Date: 13/05/2025
Corrigendum on Fee Waiver Scheme of Govt. of Assam


Date: 12/05/2025
USER GUIDE for Programme Selection of FYUG 1st Semester admission, 2025-26


Date: 07/05/2025
Imortant Notice regarding Fee Waiver Scheme


Date: 06/05/2025
Timeline of UG Admission 2025-26


Date: 11/04/2025
Grievance Redressal cell regarding HS and UG Admission 2025-26 Session


Date: 30/04/2025
Notice regarding Re-evaluation & Scrutiny of TDC(CBCS) Odd Semester Examination, November 2024


Date: 29/04/2025
HS Final Exam Result-2025 to be declared on 30-04-2025 at 9 am


Date: 29/04/2025
Notification regarding Public Holiday on 2nd May 2025


Date: 28/04/2025
Extension of Enrollment of FYUGP Even Semester Examinations up to 28.04.2025


Date: 27/04/2025
Notice regarding HS 1st year admission,2025


Date: 24/04/2025
Revised schedule of CBCS/FYUG Exam


Date: 24/04/2025
Notice regarding change in CBCS/FYUG exam schedule


Date: 20/04/2025
Notice regarding the date extension of TDC(CBCS) exam form fill-up


Date: 19/04/2025
Notice regarding Kaushal Sangam


Date: 13/04/2025
Help desk opening for FYUG 1st year admission,2025


Date: 12/04/2025
Notification regarding schedule of HS First Year admission


Date: 09/04/2025
Holiday notice


Date: 05/04/2025
Notice regarding Sports & cultural meet


Date: 05/04/2025
Important Information Regarding H S First Year Examination-2025


Date: 05/04/2025
Notice regarding Examination Enrollment of TDC(CBCS) & FYUG Even Semester Examinations, April - May 2025


Date: 21/03/2025
Notice regarding Mock Drill Exercise applying Incident Response System (IRS) on Earthquake disaster at the college


Date: 21/03/2025
Notice regarding College Foundation Day Celebration


Date: 20/03/2025
Notice regarding postponed of H.S. 1st Year Mathematics Examination


Date: 13/03/2025
Holiday Notice


Date: 07/03/2025
Notification regarding "International Women's Day"


Date: 05/03/2025
College suspended notice


Date: 03/05/2025
For the Higher Secondary First Year Examination-2025


Date: 05/03/2025
NOTICE FOR THE CANDIDATES APPEARING AT H.S. FIRST YEAR FINAL EXAMINATION, 2025


Date: 20/02/2025
Notice regarding literal & cultural cell


Date: 12/02/2025
Notification regarding Instruction for the candidated of H.S. Final Examination , 2025


Date: 28/01/2025
Notification Regarding 22nd Convocation 2025 Assam University Silchar


Date: 28/01/2025
Notice regarding NCC Practical assignment for 1st semester students


Date: 28/01/2025
Notice and Routine of 1st Unit Test of FYUG 2nd semester, 4th semester & CBCS 6th semester, 2025


Date: 27/01/2025
H.S Final year History Project evaluation notice, 2025


Date: 27/01/2025
Notice regarding Project information/Viva voice of Department Political science for HS final Examination, 2025


Date: 25/01/2025
Notice for Republic Day celebration, 2025


Date: 23/01/2025
Notification regardin Re-Open of H.S. 1st yr examination form fill up, 2025


Date: 23/01/2025
Notice Regarding national voters day


Date: 23/01/2025
Notice regarding Parakram Divas , Organised by Dept. of History


Date: 16/01/2025
Notification regarding of Re-Opening Online Registration of HS First Year Students for the Session 2024-25


Date: 13/01/2025
Notification regarding Internal assesment for even sem exam (CBCS/FYUG)


Date: 13/01/2025
Notification regarding holiday on the occasion of “Magh Bihu & Tusu Puja”


Date: 11/01/2025
Notice regarding Cultural Forum


Date: 06/01/2025
Class Routine for HS and Even Sem (CBCS & FYUG) 2025


Date: 06/01/2025
Notice regarding HS & CBCS and FYUG Even Sem class 2025


Date: 26/12/2024
NON CBCS APPLICATION FORM


Date: 26/12/2024
Notice Regarding TDC(Non-CBCS) Examination form fillup


Date: 17/12/2024
Notice regarding H. S. 2nd Year Pre-Final Examnination & Exam Routine


Date: 07/11/2024
Corrigendum regarding Advertisement for the Post of Principal.


Date: 05/11/2024
Advertisement for the Post of Principal


Date: 21/10/2024
Call Letter for Grade III Unreserve Category


Date: 21/10/2024
Call Letter for Grade IV Unreserve Category


Date: 21/10/2024
Call Letter for Grade IV OBC Category


Date: 03/09/2024
Examination Routine for TDC(Non CBCS) Special & Backlog Examination 2023 held in Sept 2024


Date: 21/08/2024
NOTICE REGARDING NON-CUET FINAL SOPT ADMISSION FYUG 1ST SEMESTER, 2024-25


Date: 21/08/2024
Class Routine for the Session 2024-25, w.e.f 23rd August 2024 (Friday)


Date: 16/08/2024
Notice regarsing Scholarship for SC & OBC students


Date: 16/08/2024
Hostel Admission Notice


Date: 16/08/2024
Admission notice for FYUG 3rd semester, session 2024-25


Date: 04/08/2024
Notice Regarding Date of Admission in 5th Semester, 2024


Date: 03/08/2024
5th Semester Admission notice,2024


Date: 28/07/2024
Notice regarding FYUG 1st Semester Spot admission on 29-31st July, 2024


Date: 26/07/2024
Notice regarding Re-evaluation of FYUG First Semester Examination, December, 2023


Date: 19/07/2024
FYUG_students_2023_24_session_ABC ID Update


Date: 18/07/2024
Notice for HS 2nd Year Admission, 2024


Date: 25/06/2024
2nd Merit List (Round 2) of FYUG 2024-25 Admission


Date: 21/06/2024
Reopening of "DARPAN" Admission Portal for HS First Year Class, 2024.


Date: 21/06/2024
Admission notice for FYUG 1st semester 2024


Date: 28/05/2024
Admission Notification with Timelines session 2024-25


Date: 11/05/2024
Notice regarding extension of Examination Enrollment of TDC(CBCS)Even Semester Examination May, 2024


Date: 09/05/2024
HS final year result sheet, 2024


Date: 09/05/2024
TDC_CBCS Even Semester Examinations Programme 2024


Date: 16/04/2024
Notice regarding FYUG 1st year admission in Samarth Portal


Date: 04/04/2024
Notification regarding acceptance of Income Certificate issued by Circle Officer for the purpose of NEW ADMISSION.


Date: 02/02/2024
TDC NON CBCS EXAMINATION FORM


Date: 02/02/2024
TDC NON CBCS ODD SEMESTER EXAMINATION,2024 NOTICE


Date: 31/01/2023
H.S final year Economics practical examination rescheduled


Date: 29/01/2023
H S Final Year Economics viva-voce notice


Date: 25/01/2023
Notice for HS Final year students of Political Science VIVA-VOICE


Date: 09/01/2023
Classes Commence notice


Date: 18/11/2023
Revised TDC (CBCS) Odd Semester Programme, 2023


Date: 16/11/2023
TDC(CBCS) Odd Semester Examination November ,2023 Programme


Date: 11/07/2023
Notice for H.S final year examination form fill up..2023


Date: 30/10/2023
Notice regarding TDC CBCS ODD SEM EXAM FORM FILL UP, 2023


Date: 30/10/2023
Notification regarding Khel Maharan


Date: 29/09/2023
2nd unit test Exam routine,2023


Date: 28/09/2023
Notification regarding Re evaluation of TDC(CBCS) Even Semester Examination, June,2023


Date: 16/09/2023
Freshers' Notice


Date: 16/09/2023
Important modification for class routine


Date: 16/09/2023
Sports notice


Date: 13/09/2023
Re-Evaluation notice for TDC NON-CBCS students


Date: 10/09/2023
College suspended notice


Date: 09/09/2023
Routine for 1st unit examination, 2023


Date: 05/09/2023
Reevaluation/scrutiny of TDC(Non CBCS) even semester examination 2022( Special & Backlog papers) held in March April 2023


Date: 09/04/2023
Registration notice for FYUG 1st year , 2023-24


Date: 09/02/2023
FYUG 1st semseter attendance sheet 4


Date: 09/02/2023
FYUG 1st semester attendance sheet 3


Date: 09/02/2023
FYUG 1ST SEMESTER Attendancee sheet 2


Date: 09/02/2023
FYUG 1st sem attendanesheet 1


Date: 02/09/2023
Notice regarding 1st unit test


Date: 30/08/2023
List of the Students with their Mentor


Date: 28/08/2023
Notice regarding mentoring of students


Date: 21/08/2023
Hostel notice


Date: 18/08/2023
Notice regarding world mosquito day ...


Date: 17/08/2023
FYUG 1st semester final subject list, 2023-24


Date: 14/08/2023
Notification regarding registration of FYUG for the session 2023-2024


Date: 14/08/2023
Classes Commence notice (All classes start from 16th August)


Date: 14/08/2023
New Hostel form


Date: 12/08/2023
Notice regarding Independence Day


Date: 12/08/2023
Notice regarding 15th August


Date: 12/08/2023
Class routine of all classes


Date: 11/08/2023
Hostel notice


Date: 04/08/2023
Degree 2nd year & 3rd Year Admission Notice, 2023


Date: 02/08/2023
H.S 2nd year admission notice


Date: 31/07/2023
Admission Notice of FYUG 1st semseter students, 2023


Date: 28/07/2023
Important Notice for Admission who have not taken admission on selected date.


Date: 27/07/2023
3rd Merit List & Admission Date


Date: 27/07/2023
2nd merit list admission notice


Date: 26/07/2023
2nd Provisional Merit list of students (Arts) admission to FYUG course 2023-24....


Date: 24/07/2023
Degree 2nd year and 3rd year admission notice.


Date: 23/07/2023
Declaration form for Fee Waiver Scheme


Date: 22/07/2023
Admission Notice for FYUG course 2023-24


Date: 21/07/2023
Important notice for FYUG course 1st list selected students.


Date: 20/07/2023
New Provisional Merit list of students (Arts) admission to FYUG course 2023-24


Date: 19/07/2023
Counseling of students for Admission into FYUG Courses 2023-24


Date: 19/07/2023
Provisional Merit list of students Admission into FYUG Course (Commerce), 2023-24


Date: 18/07/2023
Notice for H.S 1st yr students (collect your Free Text Books)


Date: 10/07/2023
Notice regarding admission into Four Year Under Graduate Programme, 2023


Date: 10/07/2023
Declaration form for fee waiver scheme


Date: 09/07/2023
Subject wise seat capacity in varous department of R.S. Girls' College, karimganj


Date: 08/07/2023
Guidelines for filling up the Application Form in Four Year Under Graduate (FYUG) Programme 2023-24 in Affiliated Degree Colleges under Assam University, Silchar


Date: 08/07/2023
Cultural Notice


Date: 06/07/2023
Important notification for H.S final year 1st division students, 2023


Date: 30/06/2023
ADMISSION NOTIFICATION FOR FOUR YEAR UNDER GRADUATE COURSE, 2023-24


Date: 30/06/2023
FYUG Guidelines


Date: 30/06/2023
ADMISSION NOTICE FOR FOUR YEAR UNDER GRADUATE COURSE (FYUG), 2023-24


Date: 14/06/2023
Re-evaluation Notification of TDC Odd Sem Examination, January,2023


Date: 10/06/2023
Notification regarding H.S. 1st year admission


Date: 10/06/2023
Notification for rechecking of Answer Scripts,2023 of H.S Final year exam


Date: 06/03/2023
Notification for WORLD ENVIRONMENT DAY


Date: 27/05/2023
Notification for certificate course in computer application


Date: 25/05/2023
NOTICE REGARDING EVEN SEMESTER (2ND, 4TH & 6TH) EXAMINATION FORM FILL UP


Date: 17/05/2023
Notifcation Regarding H.S. 2nd year classes


Date: 15/05/2023
H.S. 1st year result, 2023


Date: 26/04/2023
Notice for Certificate course in Computer Apllication


Date: 25/04/2023
Undertaking for remainig classes


Date: 20/04/2023
Important Notice for TDC students (class attendance purpose)


Date: 19/04/2023
Important notice for all even semester students


Date: 11/04/2023
Notice regarding subject allocation


Date: 30/03/2023
notification regarding Students Day


Date: 29/03/2023
NON CBCS (2ND, 4TH * 6TH sEMESTER ROUTINE)


Date: 25/03/2023
notification regarding unit test examination


Date: 24/03/2023
College suspended notice


Date: 24/03/2023
Notice Regarding Hostel (Gurdian Meet)


Date: 14/03/2023
Routinr for H.S 1st year examination, 2023


Date: 10/03/2023
Notice regarding TDC Unit test, 2023


Date: 03/01/2023
Notifiaction Regarding commencement of classes


Date: 14/02/2023
Important notice regarding Economics Department (For H.S 2nd year students only)


Date: 02/10/2023
Notification Regarding " Ek Bharat Shreshtha Bharat Programme"


Date: 31/01/2023
Notice regarding ABC' ID


Date: 12/01/2023
Notification regarding Extension of Enrollment of TDC Odd Semester Examination January,2023


Date: 07/01/2023
TDC(CBCS) Examination Programme, Odd Semester 2022 to be held from 28th January,2023


Date: 07/01/2023
notification regarding Ayushman Bharat Mission


Date: 23/12/2022
Notice regarding TDC ODD sem examination from fill up


Date: 12/12/2022
Creating awareness about Minorities & Combined Scholarship


Date: 06/12/2022
H.S 2nd year Pre-Final Exam Routine 2022


Date: 30/11/2022
H.S 1ST YEAR FROM FILL UP NOTICE


Date: 30/11/2022
Important notice regarding TDC Unit Test


Date: 27/11/2022
Pre-Final notice


Date: 19/11/2022
important notice regarding unit test,2022


Date: 19/11/2022
Important notice regarding Unit test examination 2022


Date: 16/11/2022
Notification for NON-CBCS Re-Evaluation


Date: 15/11/2022
Modified routine


Date: 14/11/2022
Routine for unit test of all H.S. & TDC (all Semester)-2022


Date: 11/05/2022
Notification regarding H.S Final year examination form fill up


Date: 05/11/2022
Notice Regarding TDC NON-CBCS Examination


Date: 29/10/2022
class Commence Notice


Date: 29/10/2022
class Routine of all classes


Date: 28/10/2022
Subject allocation notice of B.A 1st Semester.


Date: 28/10/2022
Notification for extension of online registration of TDC for the session 2022-23


Date: 26/10/2022
Holiday notice


Date: 20/10/2022
Notification regarding Resistration No of B.A & B.COM 1st semester issued by Assam Universirty (Session 2022-23)


Date: 20/10/2022
Notification regarding Resistration No of B.A & B.COM 1st semester issued by Assam Universirty (Session 2022-23)


Date: 20/10/2022
Notification Regarding H.S 1st Year Registration


Date: 16/09/2022
Notification regarding Online BKJ Global Quiz -2022 (Prrsented by Bharat Vikash Parishad)


Date: 07/09/2022
Matter regarding ceremonial distribution of Anundoram Borooah Award, 2022


Date: 05/09/2022
Admission notice for Degree 2nd year & 3rd year


Date: 25/08/2022
Notice refarding Re-evaluation & Scrutiny of TDC Odd Semester Examination, March,2022


Date: 25/08/2022
Revised TDC Examination Routine


Date: 22/08/2022
Registration Notice (B.A 1st Sem & B.Com)


Date: 22/08/2022
Freshers notice


Date: 18/08/2022
Extended Date of Enrollment of TDC Even Semester Examination,2022


Date: 16/08/2022
Freshers notice


Date: 16/08/2022
Freshers notice


Date: 13/08/2022
Notice regarding flag hoisting


Date: 12/08/2022
Time reschedule of Probhatferi (i.e. tomorrow 12.08.22)


Date: 11/08/2022
Notice regarding Celebrate the 'Azadi ka Amrit Mohotsav'


Date: 11/08/2022
Notice regarding Quiz & Extempore Speech


Date: 08/08/2022
College closed notice


Date: 08/08/2022
Notice for the purpose of Pre Matric Post Matric scholarship.


Date: 08/08/2022
Notice Regarding Scholarship 2022-23


Date: 05/08/2022
Class Routine for H.S 1st Year, H.S. 2nd year & B.A. 1st year


Date: 01/08/2022
NOTICE REGARDING HOSTEL


Date: 30/07/2022
Notice regrdaing "Celebration of 75th Year of Independance 'Har GharTiranga"


Date: 29/07/2022
Important notice for H.S. 2nd year Admission


Date: 28/07/2022
Notice regarding H.S 1st Year & B. A 1st year classes.


Date: 28/07/2022
Notice regarding Degree even semester classes


Date: 24/07/2022
Important notice for Upcoming TDC Non-CBCS examination.


Date: 23/07/2022
Notice regarding Admit card for TDC Non-CBCS students


Date: 23/07/2022
Notice for Re opening Admission Portal (B.A/B.Com 1st year admission notice)


Date: 22/07/2022
Notifiaction regarding Common entrance test for free for UPSC


Date: 20/07/2022
Revised Exam Schedule for TDC NON-CBCS Examination


Date: 20/07/2022
Notification Regarding B.A 1st semester admission 2022-23 (only for the remaining students who not taking admission yet in college & all the remaining students of waiting list)


Date: 19/07/2022
Notice regarding From fillup of TDC CBCS 2nd Sem, 4th Sem & 6th semester


Date: 16/07/2022
B.A 1ST SEMESTER ADMISSION NOTICE, 2022-23


Date: 16/07/2022
B.A 1ST SEMESTER PASS MERIT LIST (FOR ADMISSION IN B.A PASS, 2022-23)


Date: 16/07/2022
B.A. 1ST SEMESTER HONOURS MERIT LIST (FOR ADMISSION IN B.A 1ST SEM IN HONOURS, 2022-23)


Date: 16/07/2022
Notice For the academic session 2020-2021, all the students pursuing UG course are entitled for a text book grant of Rs 1000/- (list enclosed)


Date: 14/07/2022
TDC Non-CBCS Revised ODD Sem examination Routine 2021, held in 2022


Date: 13/07/2022
ADMISSION NOTICE FOR B.COM 1ST SEMESTER (SESSION 23022-23)


Date: 04/06/2022
Postponement of Non-CBCS Odd semester examination, 2021


Date: 07/06/2022
Rescheduled Events of TDC(CBCS) Even Semester Examination, August 2022


Date: 02/06/2022
Notice regarding B.A & B.COM 1st year admission 2022-23


Date: 28/06/2022
Reschedule of special Unit Test Exam


Date: 26/06/2022
The following links of HS result.


Date: 22/06/2022
Unit test exam postponed


Date: 20/06/2022
notice regarding Re-Schedule of special unit test.


Date: 20/06/2022
College suspended notice


Date: 17/06/2022
Notification regarding Special Unit test (who did not appear or have partially appeared in the last Unit Test Examination )


Date: 15/06/2022
ROUTINE FOR TDC ODD SEMESTER (Non-CBCS) EXAMINATION 2021 held in July, 2022


Date: 13/06/2022
Important Notice Regarding Internal Unit Test (TDC EVEN SEM), 2022


Date: 06/08/2022
Notification-regarding-Opening-of-DARPAN-admission-portal-for-H.S 1st year students


Date: 02/06/2022
Notification regarding NON-CBCS ODD Semester examination


Date: 30/05/2022
College suspended notice


Date: 27/05/2022
Notification regarding H S 1st Year Examination, 2022


Date: 27/05/2022
Routine for UNIT TEST, 2022 (EVEN SEMESTER- 2nd sem, 4th sem & 6th sem)


Date: 27/05/2022
Notice Regarding Unit Test of Even SEMESTER (2nd sem, 4th sem & 6th sem), 2022


Date: 27/05/2022
Class notice for TDC even sem students


Date: 21/05/2022
College Notice


Date: 19/05/2022
Class suspension Notice by Assam University due to Natural calamity


Date: 18/05/2022
Notification regarding occasion of Sahid Divash


Date: 17/05/2023
Notification regarding suspension of HS 1st year examination


Date: 05/05/2022
Notice regarding RE-Evaluation of NON-CBCS (2nd, 4th & 6th Sem arrear Examination), 2021.


Date: 28/04/2022
Class Commencement Notice


Date: 27/04/2022
NOTIFICATION AND REVISED EXAMINATION ROUTINE FOR H S 1ST YEAR EXAMINATION 2022


Date: 25/04/2022
Notification regarding extension of Non-CBCS Examination form Fill Up


Date: 05/04/2022
Notice regarding TDC(CBCS)6th Semester Re-evaluation


Date: 01/04/2022
List of candidates & Date of Interview for the post of Assistant Professor In Philosophy, Sanskrit & Bengali


Date: 31/03/2022
Interview Notice for Assistant Professor Department of Bengali


Date: 31/03/2022
interview notice for Assistant Professor Department of Sanskrit & Philosophy


Date: 30/03/2022
Revised notification for 19th Convocation 2022


Date: 21/03/2022
H. S 1st year Examination form fill up notice


Date: 21/03/2022
Notice for H. S 1st year students


Date: 20/03/2022
Revised TDC ODD Semester CBCS Examination Programme,2021 (To be held on March,2022)


Date: 19/03/2022
Extended date of Enrollment of TDC(CBCS) Odd Semester Examination,2021 to be held on March,2022


Date: 03/10/2022
Advertisement for Appointment of Assistant Professor


Date: 03/10/2022
Notification for Advertisement Selection of Candidate


Date: 03/10/2022
Notification for Advertisement PA_177


Date: 03/10/2022
Notification for Advertisement OUTSIDE


Date: 03/10/2022
Notification for Advertisement Guideline


Date: 03/10/2022
Notification for Govt. order of Advertisement


Date: 03/10/2022
Notification for Advertisement Form


Date: 03/10/2022
Notification for Advertisement Application Fee


Date: 09/03/2022
Form fill up notice for TDC CBCS 1st sem, 3rd sem, 5th sem students


Date: 03/04/2022
Notice regarding ODD sem examination form fill up (1st sem, 3rd sem & 5th sem)


Date: 04/03/2022
Notice regarding CBCS examination form fill up (1st, 3rd & 5th sem)


Date: 03/03/2022
H.S. FINAL YEAR ECONOMICS PROJECT NOTICE (MOST URGENT)


Date: 22/02/2022
H. S final examination 2022 Economics Project again.


Date: 21/02/2022
Notice Regarding TDC Non-CBCS ODD semester Examination From Fill-UP


Date: 19/02/2022
SUBJECT ALLOCATION NOTICE FOR B.A./B.COM 1ST SEMESTER


Date: 17/02/2022
Hostel Notice


Date: 16/02/2022
Notification for National Girl Child Day, 2022


Date: 11/02/2022
TDC 1st sem registration (for Degree 1st sem students) last date extended...


Date: 11/02/2022
College suspended notice


Date: 01/02/2022
Notification Regarding Extempore Speech Competition.


Date: 01/02/2022
Notification Regarding Extempore Speech Competition.


Date: 01/02/2022
Notification for National Girl Child Day


Date: 01/02/2022
Notification for National Girl Child Day


Date: 01/02/2022
notification for National Girl Child Day.


Date: 28/01/2022
class suspended notice


Date: 31/01/2022
Notification for H.S. Registration


Date: 20/01/2022
H.S. Final year Programme 2022


Date: 19/01/2021
NATIONAL VOTER'S DAY NOTICE


Date: 17/01/2022
2nd Unit Test examination Routine, 2022


Date: 17/01/2022
Notice regarding Registration of Degree 1st semester 2021-22


Date: 15/01/2022
2nd Unit Test examination notice, 2022


Date: 15/01/2022
Notice regarding H.S. 2nd year Economics project, 2022


Date: 07/01/2022
Sports notice (Badminton competition)


Date: 06/01/2022
ASSAM UNIVERSITY REGISTRATION NOTICE 2022


Date: 06/02/2021
NOTICE REGARDING ONLINE REGISTRATION OF STUDENTS ADMITTED DURING THE SESSION 2021-22 IN THE B.A. & B.COM 1ST YEAR. (ONLY FOR DEGREE 1ST YEAR STUDENTS)


Date: 05/01/2022
college notice


Date: 01/01/2022
Covid-19 vaccine notice


Date: 27/12/2021
Sports Notice


Date: 11/12/2021
College unit test exam notice, 2021


Date: 10/12/2021
NOTICE REGARDING H.S. 2ND YEAR PRE-FINAL EXAMINATION, 2021


Date: 09/12/2021
H.S. 1ST YEAR EDUCATION EXAM RESCHEDULE


Date: 09/12/2021
NOTICE REGARDING ADMIT CARD OF H.S 2ND YEAR PRE-FINAL EXAMINATION, 2021.


Date: 06/12/2021
Sports notice


Date: 03/12/2021
Hostel notice


Date: 02/12/2021
ROUTINE FOR THE HIGHER SECONDARY PRE-FINAL TEST-2021


Date: 02/12/2021
ROUTINE FOR THE UNIT TEST OF H.S 1ST YEAR & TDC ODD SEMESTER, 2021


Date: 30/11/2021
College suspended tomorrow


Date: 26/11/2021
Routine TDC Non CBCS Even Semester 2021


Date: 26/11/2021
Notice regarding H.S. pre final examination 2021-22


Date: 26/11/2021
Notice regarding unit test of degree & H.S 1st year students 2021


Date: 25/11/2021
Re-evaluation notice


Date: 16/11/2021
Routine for H.S 2nd year unit test examination 2021


Date: 13/11/2021
class wise routine 2021-22


Date: 12/11/2021
Notice regarding H.S 2nd year examination from fill up 2021


Date: 09/11/2021
Notice for H.S. 2nd year students


Date: 08/11/2021
COLLEGE LIBRARY NOTICE


Date: 08/11/2021
PROGRAMME FOR THE HIGHER SECONDARY PRE-FINAL TEST 2021


Date: 06/11/2021
Students are asked to attend classes as per te Routine and the group herein


Date: 03/11/2021
Notice regarding of starting of all H.S & TDC classes, 2021


Date: 01/11/2021
Notice regarding Minority Scholarship


Date: 23/10/2021
Students of 4th semester(cbcs) having Philosophy(applied ethics) paper no. 401(pass) are hereby asked to submit the assignment on or before 27/10/2021


Date: 21/10/2021
NOTICE REGARDING ADMISSION INTO BA/B.COM 2ND YEAR & 3RD YEAR 2021-2022


Date: 21/10/2021
NOTIFICATION REGARDING H.S 1ST YEAR STUDENTS


Date: 21/10/2021
FEE WAIVER NOTIFICATION RELATED ADMISSION PURPOSE


Date: 10/10/2021
TDC Examination Application Form.


Date: 09/10/2021
NOTICE REGARDING NON-CBCS EVEN SEMESTER EXAMINATION FORM FILL UP


Date: 09/10/2021
NOTICE REGARDING NON-CBCS EVEN SEMESTER EXAMINATION-2021


Date: 08/10/2021
COMMERCE (4TH SEM SEC ASSIGNMENT QUESTION )


Date: 08/10/2021
COMMERCE (4TH SEM SEC ASSIGNMENT QUESTION )


Date: 08/10/2021
ECONOMICS (4TH SEM SEC ASSIGNMENT QUESTION )


Date: 08/10/2021
ENGLISH (4TH SEM SEC ASSIGNMENT QUESTION )


Date: 08/10/2021
HISTORY (4TH SEM SEC ASSIGNMENT QUESTION )


Date: 08/10/2021
MASS COMMUNICATION (4TH SEM SEC ASSIGNMENT QUESTION )


Date: 08/10/2021
PHILOSOPHY (4TH SEM SEC ASSIGNMENT QUESTION )


Date: 08/10/2021
POL. SCIENCE (4TH SEM SEC ASSIGNMENT QUESTION )


Date: 08/10/2021
SANSKRIT (4TH SEM SEC ASSIGNMENT QUESTION )


Date: 08/10/2021
BENGALI (4TH SEM SEC ASSIGNMENT QUESTION )


Date: 08/10/2021
EDUCATION SEC ASSIGNMENT QUESTION


Date: 08/10/2021
NOTICE REGARDING H.S FINAL EXAM 2022


Date: 08/10/2021
NOTICE REGARDING MINORITY SCHOLARSHIP


Date: 08/10/2021
NOTICE REGARDING BA & B.COM 4TH SEM SEC ASSIGNMENT 2021-2022


Date: 04/10/2021
TDC(CBCS) 2nd Sem Exam 21 home assignment questions


Date: 04/10/2021
Instruction for submission of Home Assignment(AECC ) for TDC(CBCS) 2nd semester examination 2021


Date: 04/10/2021
NOTICE REGARDING OF H.S 2ND YEAR ADMISSION (2021-2022)


Date: 01/10/2021
COVID-19 GENERAL GUIDELINES FOR STUDENTS


Date: 01/10/2021
NOTICE REGARDING H.S 2ND YEAR , B.A 3RD SEM & B.A 5TH SEM ADMISSION 2021-2022


Date: 22/09/2021
3RD MERIT LIST FOR GETTING ADMISSION INTO THE BA 1ST SEMESTER 2021-2022


Date: 20/09/2021
3rd merit list for getting admission into B.A. 1st semester 2021-2022.


Date: 18/09/2021
2ND MERIT LIST FOR GETTING ADMISSION INTO B.A. 1ST SEMESTER (2021-2022)


Date: 16/09/2021
Notification regarding declaration of holiday on 17th September, 2021 on account of Karam Puja


Date: 09/09/2021
TDC CBCS 6th Semester Examination 2021Programme (6th Semester CBCS Exam Routine)


Date: 09/09/2021
ADMISSION NOTICE FOR BA & B.COM 2021-2022


Date: 07/09/2021
Merit list for Admission in B. com 1st sem, 2021-22


Date: 08/09/2021
Waiting list for admission in BA 1st semester. (Waiting list)


Date: 08/09/2021
Open list for Admission in TDC (BA 1st sem)2021-2022


Date: 08/09/2021
H.S 1ST YEAR ADMISSION NOTICE SESSION 2021-2022


Date: 08/09/2021
H.S 1ST YEAR ADMISSION NOTICE (SESSION 2021-2022)


Date: 04/09/2021
Notice regarding Exam Enrollment/From fill up


Date: 04/09/2021
Notice regarding vaccination programme in college campus on 6th September 2021.


Date: 04/10/2021
Notice regarding vaccination programme in college campus on 6th September.


Date: 19/08/2021
NOTICE REGARDING H.S 1ST YEAR STUDENTS. (ALT. ENGLISH CAN TAKE AS A MIL SUBJECT)


Date: 14/08/2021
NOTICE REGARDING CELEBRATE THE 75TH INDEPENDENCE DAY


Date: 12/08/2021
Notice regarding Blood Donation Camp on the Occasion of 75th Independence Day


Date: 11/08/2021
Degree 1st Semester Admission notice


Date: 10/08/2021
Admission notice (only HS 1st year)


Date: 09/08/2021
Notice regarding sports (prizes of various competitions)


Date: 05/08/2021
Notice regarding Non-CBCS Odd Semester examination


Date: 05/08/2021
Notification-from-CoE-regarding-Special-H-S-Final-Examination2021


Date: 04/08/2021
notice regarding UNIT TEST of EVEN Semester & H.S 2nd year students, 2021


Date: 29/06/2021
Notice regarding online classes


Date: 29/06/2021
R. S. Girls College routine for online classes for the month of July 2021


Date: 14/05/2021
Notice regarding online H.S. 2nd Year Class (newly promoted from H.S. 1st Year) 2021


Date: 17/12/2020
ASSIGNMENT QUESTION OF POLITICAL SCIENCE (1ST, 3RD & 5TH SEM)


Date: 16/12/2020
ASSIGNMENT QUESTION OF DEPARTMENT ENGLISH (1ST. 3RD & 5TH SEM ALL PAPER)


Date: 16/12/2020
ASSIGNMENT QUESTION OF DEPARTMENT EDUCATION (1ST. 3RD & 5TH SEM ALL PAPER)


Date: 16/12/2020
ASSIGNMENT QUESTION OF DEPARTMENT ECONOMICS (1ST. 3RD & 5TH SEM ALL PAPER)


Date: 16/12/2020
ASSIGNMENT QUESTION OF DEPARTMENT COMMERCE (1ST. 3RD & 5TH SEM ALL PAPER)


Date: 16/12/2020
ASSIGNMENT QUESTION OF DEPARTMENT SANSKRIT (1ST. 3RD & 5TH SEM ALL PAPER)


Date: 16/12/2020
ASSIGNMENT QUESTION OF DEPARTMENT PHILOSOPHY (1ST. 3RD & 5TH SEM ALL PAPER)


Date: 16/12/2020
ASSIGNMENT QUESTION OF DEPARTMENT MASS COMMUNICATION (1ST. 3RD & 5TH SEM ALL PAPER)


Date: 16/12/2020
ASSIGNMENT QUESTION OF DEPARTMENT HISTORY (1ST. 3RD & 5TH SEM ALL PAPER)


Date: 16/12/2020
ASSIGNMENT QUESTION OF DEPARTMENT BENGALI (1ST, 3RD & 5TH SEM ALL PAPER)


Date: 12/12/2020
APPLICATION FORM FOR SCRUTINY / RE-EVALUATION


Date: 11/12/2020
NOTICE REGARDING 1ST UNIT TEST OF TDC 2020


Date: 09/12/2020
HOSTEL NOTICE REGARDING ADMISSION INTO HOSTEL 2020


Date: 11/09/2020
List of subjects of BA 3rd semester pass


Date: 11/09/2020
Final list of Generic Elective Subject for BA 5th semester students.


Date: 02/11/2020
Undertaking regarding attending the classes


Date: 02/11/2020
Notice regarding class schedule


Date: 02/11/2020
Class Routine for the session 2020-21


Date: 02/11/2020
Sop for reopening of college


Date: 19/09/2020
Routine for HS 1st and HS 2nd year students as per Govt. SOP


Date: 19/09/2020
Govt order regarding Re-opening of offline classes for H.S. 1st year and H.S. 2nd Year 2020


Date: 16/09/2020
Notice regarding online Exam for 6th Semester (non-CBCS)... Read the instructions carefully before submitting the form in the college.


Date: 01/09/2020
Online admission for CBCS 3rd and 5th Semester is postponed.


Date: 18/08/2020
NOTICE REGARDING H.S 2ND YEAR ADMISSION


Date: 11/08/2020
notice regarding College Centre Fees


Date: 06/08/2020
2nd Merit List of 1st Semester BA Pass and Hons 2020-21


Date: 08/05/2020
Assignment questions of Department English


Date: 08/05/2020
Notice regarding 4th semester examination from fill up


Date: 08/05/2020
Notice regarding 2nd semester examination from fill up


Date: 29/07/2020
following students are passed from Rabindrasadan Girls' College, Karimganj have been selected for getting admission in B.A 1st Semester 2020-21


Date: 28/07/2020
BA 1ST SEMESTER HONORS MERIT LIST, SESSION 2020-21


Date: 28/07/2020
NOTICE REGARDING ADMISSION FOR BA 1ST SEMESTER 2020-21


Date: 28/07/2020
BA 1ST SEMESTER PASS(GEN, OBC, SC, ST) MERIT LIST, SESSION 2020-21


Date: 28/07/2020
IMPORTANT NOTICE REGARDING GENERATE UNIQUE ID OF DHE, ASSAM


Date: 16/07/2020
Final list of H.S. 1st year (Arts and commerce) for the session 2020-21..... Read the notice (dated 16/07/2020) carefully


Date: 16/07/2020
Notice for H.S. 1st year candidates session 2020-21


Date: 06/07/2020
English...Assignment for TDC (CBCS) 2nd and 4th Sem (Hons & Pass) .. email : engrsgcollege@gmail.com


Date: 03/07/2020
NOTICE Regarding Assignment for TDC (CBCS) 2nd and 4th sem


Date: 02/07/2020
Undertaking .... For H.S.1st year candidates 2020


Date: 02/07/2020
List of the candidates (H.S.1st year) with insufficient documents..... ****Read the information given at the top of the list carefully****


Date: 02/07/2020
Merit List H.S.1st year 2020 ...... ***Read the information given at the top of the list***


Date: 25/06/2020
H.S. final result 2020 (Arts)


Date: 13/06/2020
Corrigendum....... Regarding New Admission for H.S.1st Year


Date: 15/05/2020
Download 6th Semester 2020 Examination Form


Date: 15/02/2020
cancel of Assistant Professor Interview.


Date: 04/12/2019
Notice regarding 3rd Sem cbcs exam


Date: 23/09/2019
Notice Inviting Re-Tender


Date: 23/09/2019
Notice Inviting Re-Tender


Date: 17/09/2019
SCHOLARSHIP (FRESH) FOR GIRLS STUDENT BELONGING TO MINORITY COMMUNITY SCHOLARSHIP SCHEME 2019-20


Date: 18/09/2019
Notice Regarding Students Union Election 2019


Date: 20/08/2019
Application Format for the post of Assistant professor


Date: 26/07/2019
It is notified for of all concerned that the REGISTRATION of TDC 1st year its starting from today through ONLINE (websit- aus.nic.in) as per details given below.


Date: 01/07/2019
Download Declaration Form and submit it at the time of submission of Payment Slip


Date: 18/06/2019
List for Admission in BA 1st Sem 2019, only for the students those who passed from R S Girls’ College….. Date 19th June 2019…… Time 11.30 am to 2.00 pm


Date: 15/06/2019
Date of Verification for the B.A. 1st Sem (2019-20)


Date: 15/06/2019
B.Com (Pass) Merit List and notice for the candidates whose percentage are found incorrect


Date: 15/06/2019
BA 1st Sem Merit List (SC, OBC, ST , Sports and Cultural Quota)


Date: 15/06/2019
B.A. (CBCS) 1st Sem Merit list for academic year 2019-20


Date: 11/06/2019
H.S. 1st year (Arts) Merit list from serial No. 61 to 104 and Commerce (Date for scrutiny - 14th June 2019)


Date: 11/06/2019
H.S. 1st year Merit list from serial No. 1 to 60 (Date for scrutiny - 13th June 2019)


Date: 11/06/2019
Revised Fee Structure for Higher Secondary and Degree Students as per Govt. Order 2019


Date: 11/06/2019
Notice Regarding H.S. 1st year date of scrutiny


Date: 31/05/2019
New Govt notification for Free Admission and college admission fee structure


Date: 27/05/2019
Download College Hostel Admission Form


Date: 27/05/2019
Instructions for New Online Admission and Compulsory Computer Course for H.S. 1st year.


Date: 27/05/2019
Important dates for New admission & Instructions for Free admission, Reservation and Subject restrictions.